The burning zone of a rotary lime kiln has the highest process and shell temperatures of anywhere in the kiln. Increasing production by increasing burning temperatures necessitates the selection of higher quality basic wear lining brick (improved thermochemical resistance) to optimise the refractory campaign life. Such bricks also have higher conductivity and, with minimal coating formation, shell temperatures are further increased. The resulting high shell temperature can cause shell deformation, increased energy consumption, loosening of the refractory lining and rotational and migration issues. Until now, dedicated insulation linings have not been used in such intensely thermomechanically stressful applications due to their inherent softness and fragility. Rotary kiln lime producers have to tolerate unacceptably high shell temperatures and energy consumption in order to achieve increased production targets. To correct this, a 13mm thick structural insulation board manufactured by Pyrotek, with world’s best thermomechanical properties, was trialed in order to reduce the shell temperatures. Its performance was assessed over a three year campaign.
Boral Cement operates a 3.35m diameter, 84m long rotary lime kiln in Marulan South, New South Wales, Australia. It is lined with 220mm thick refractory brick. The kiln is supported by three tyres, with an operational speed of up to 2rpm. It converts 800t/day of limestone to 400t/day of lime. This has been achieved through use of higher quality refractories including basic brick in the burning zone. Compared to high alumina bricks, this material has greater chemical inertness and refractoriness, ideally suited for increased temperatures associated with increased production. However, this comes at the expense of higher thermal conductivity. The subsequent excessive high shell temperatures can cause: Increased shell deformation and repair costs; Loose refractory lining; Over-expansion of the shell and necking in the tyre; Increased exposure of equipment and personnel to heat stress and; Higher energy consumption and green-house gas emissions.
In the case of the Marulan plant, the resultant shell temperatures in the burning zone around tyre No. 1 regularly exceeded 450°C. Action was required to reduce the shell temperature and related high energy consumption. The solution would be to use a dedicated insulation lining. However, given the very high thermal, mechanical, chemical and fatigue forces involved, no material has offered long term performance in such an environment to date. Failure of the insulation lining would cause failure of the entire lining and result in prolonged kiln stoppage and loss of production.
Pyrotek solution
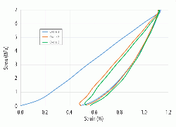
Pyrotek is the producer of ISOMAG® 70XCO, a phosphate bonded MgO-SiO2 structural insulating board, specifically designed for back up refractory lining in demanding thermomechanical applications. It has unmatched thermomechanical properties at operational temperatures, including minimal shrinkage with high strength while maintaining low thermal conductivity (See Table 1). Tested under cyclical compressive stress conditions at 500°C, ISOMAG® maintained its elasticity of up to 7MPa, offering further assurance of lining stability in this environment (See Figure 1).
ISOMAG® 70XCO, 12.7mm in thickness, was inserted between the wear lining and steel shell, did not compromise vessel capacity or the installation procedure. Thermal calculations showed significant reductions in shell temperature and energy use.
| Max. Service Temp. Limit | Shrinkage at 900°C | Cold crushing strength | Hot crushing strength at 5% strain at 500°C | |
| ISOMAG® 70XCO | 1050°C | 0.0164 | 15MPa | 17MPa |
Above - Table 1: Physical properties of ISOMAG® 70XCO.
| Lining Material | Standard lining | Insulated lining | K Value at 600°C (W/mK) | Density (kg/m3) |
| Wear lining brick | 220mm MgO-Spinel | 220mm MgO-Spinel | 3.25 | 2280 |
| Insulation board | N/A | 13mm ISOMAG® 70XCO | 0.31 | 1250 |
Above - Table 2: Burning zone refractory lining - Standard versus insulated practice.
The trial
12.7mm ISOMAG® 70XCO board was installed at the No. 1 tyre of the Marulan’s plant’s No. 2 rotary lime kiln, which is shown in Figure 2. The tyre’s centre-line is 8.84m from the kiln discharge end.
A 3.8m-long test area was selected and three rows of 1265mm x 76mm x 12.7mm board were installed over the full circumference in the burning zone on either side of the tyre centre-line. ISOMAG® 70XCO board was installed between 6.4m and 10.2m axial metres, mortared to the shell beneath the 220mm VDZ B222-B422 basic brick.
The basic wear lining bricks were radially mortared with 1mm magnesite mortar joint on the brick-to-brick faces around the ring for added mechanical flexibility in the rings of bricks. This aids resistance to ovality stresses in the tyre at operating temperatures. For comparison, 3m uphill of this trial area, only basic brick was installed. Table 2 shows the regimes to be compared.
Results and discussion
Figure 3 shows a calculated one dimensional (steady state) heat loss comparison between the standard lining and insulated lining with the wear lining in both new and worn conditions. The calculations measured through conduction represent the main mechanism of heat transfer through the wear lining.
For the standard installation in new condition, the calculated shell temperature is 365°C with an energy loss of 10.5kW/m2. With 13mm of ISOMAG® 70XCO insulation board, the shell temperature and heat loss are 300°C and 8.1kW/m2 respectively. This is 65°C cooler and a 32% reduction in energy loss from the kiln shell.
When the wear lining brick is worn to 120mm thick, the calculated shell temperature is 453°C. Under this condition, the insulation board provides an even greater benefit, lowering the shell temperature by 101°C to a more tolerable 352°C. This represents an equivalent 50% energy loss saving.
Figure 4 shows the effect an insulation board has on the thermal gradient. The wear lining brick has a flatter thermal gradient when insulation board is used, meaning hotter refractories and more energy retained within the lining. As a result, the wear lining brick accommodates more thermal load, with more uniform temperature throughout its thickness. The result is more uniform thermal expansion, which should promote lining tightness and minimise thermal shock and fatigue during operation. With increased thermal expansion, the wear lining brick is under increased thermomechanical load, so assessing the refractory wear is also of great interest.
Actual comparison
Figure 5 is a thermograph taken in March 2011 of the burning zone (Pier 1) and tyre section, which was toward the end of the standard refractory campaign. It shows the concern, where large areas of the kiln shell exceed 485°C under the No.1 tyre, with the wear lining approaching its minimum thickness. This value is consistent with the theoretical calculation of 453°C, as shown in Figure 4.
Five months later, the burning zone was relined with 220mm of basic brick and 13mm of ISOMAG® 70XCO (6.4 - 10.2m from discharge). The effect is shown in Figure 6. The thermography company stated, “Pier 1 showed a steep decrease, with an even distribution of temperatures around the circumference in the range of 355-365°C. This is a decrease of 90 - 120°C below the
previous survey.”
Figure 7 shows that, after 28 months of stop-start operation, the shell temperature under the tyre in the burning zone has been maintained at an average of 360 - 370°C, compared to 420 - 440°C without insulation. The 10.2 – 13m region had basic brick installed and, without insulation, averages 425°C. As the wear lining becomes more worn, its shell temperature could exceed the control limit set at 470°C, risking premature reline or stoppage. The shell temperature saving with 13mm ISOMAG® 70XCO is confirmed to average 70°C.
The benefits of lower shell temperature
Reducing the shell temperature results in less shell distortion for a more uniform or circular shell profile, which allows for better keying and tighter refractory installation. A lower shell temperature also reduces the risk of necking; where thermal expansion of shell exceeds the tyre diameter. Necking can cause catastrophic refractory failure and operational issues as well as potential shell repair/replacement. Finally, lowering the shell temperature protects surrounding equipment like bearings, drives and also aids operator comfort and safety. High shell temperatures indicate excessive energy loss.
The potential pitfalls
Reducing the shell temperature reduces shell thermal expansion and may have adverse consequences in terms of ovality - the relationship between the horizontal and vertical shell diameters. The kiln is designed so that shell expansion at operating temperature results in the optimal ovality and migration (rolling distance of the tyre in relation to the shell) control. Where migration and ovality is not under control it can result in adverse effects such as spalling, loosening and even spiralling of refractories.
In the Marulan trial, neither migration or ovality were recorded per-se, but they were calculated to be within the plant’s operational limits when the insulation lining was included. Subsequent refractory inspections during the trial showed none of the above adverse refractory wear issues and kiln operations.
In summary, refractories placed on the insulation lining wore at the same rate to the adjacent standard lining. Shell temperature reduction and refractory lining stability were maintained through its 43 month campaign (See Figures 8 & 9).
Effects on energy consumption
Table 3 is a theoretical calculation measuring the energy savings in GJ/t based on the heat loss calculation shown in Figure 4 and other inputs from the plant.
In general, Zone 1 is comprised of basic brick (lower transition, burning). Zone 2 is the upper transition (preheating) zone of high alumina brick. Zone 3 (charging zone) is comprised of a super duty brick and ‘tumbler rows’ construction.
Zone 1 has hotter process zones and more conductive brick has the highest energy loss. The prediction of 82°C µΔT (average shell temperature difference) is consistent with the actual measurements. It yields a calculated energy saving of 0.21GJ/t. Zone 2 has lower process temperatures and less conductive bricks. The calculated shell temperature improvement is lower, at 65°C, consistent with actual measurements, and results in an energy saving of 0.09GJ/t.
For zone 3 the calculated µΔT was reduced by 36°C, with a 0.07GJ/t energy saving due to the larger surface area, lowest process temperatures and conductive wear lining brick. Given the higher shell temperature reductions, if 46 lineal metres from discharge (or 55%) is insulated with ISOMAG®, this would lead to an energy saving of 0.3GJ/t. Data from the plant has already confirmed a 0.2GJ/t improvement by insulating just the kiln hottest zones.
| Region | HF Brick | Length (m) | Internal surface area (m2) | Shell µΔT (°C) | ΔHL (kW/m2) | MWh day gain | t/day | GJ/t gain | Saving/yr (US$) | ISOMAG RoI |
| Zone 1 (0 - 25m) | 85% Mg-Spinel | 25 | 262 | 82 | 3.87 | 24.4 | 420 | 0.21 | 191355 | 14 |
| Zone 2 (25 - 46m) | 85% Alumina | 21 | 220 | 65 | 2.09 | 11.1 | 420 | 0.09 | 86098 | 12 |
| Zone 3 (46 - 84m) | 43% Alumina | 38 | 399 | 36 | 0.8 | 7.7 | 420 | 0.07 | 57455 | 8 |
| Totals | 84 | 881 | 61 | 2.26 | 14.4 | 0.37 | 334908 | 12 |
Above - Table 3: Energy saving calculations with ISOMAG insulation in the lime kiln.
Conclusions
The decision to insulate a rotary kiln was done to reduce shell temperature or save energy. The shell temperature under No.1 tyre at Boral Cement Marulan lime kiln exceeded 480°C and traditional insulation materials could not offer effective performance guarantees in this high production / high temperature operational environment.
This article examined the effect of incorporating a 13mm insulation board with the worlds best thermomechanical properties in the burning zone of a high output lime kiln.
The refractory insulation lining showed no evidence of degradation throughout the campaign and had the following results:
- 70°C shell temperature reduction maintained for 43 months of stop-start production;
- Noticeable improvement in operator comfort adjacent to the burning zone;
- No effect on wear lining erosion/performance;
- Potential to reduce shell repair costs by being well under design limit temperature;
- Enhances productivity/costs by prolonging the life of the shell;
- 0.2GJ/t energy consumption saving, with further savings available by increasing the area of insulation;
- Improved lime quality noted by chemists due to insulation of the burning zone.
ISOMAG® has been specified as the dedicated insulation lining from the lower transition to upper transition zones of this kiln.
The results of this trial are significant for the global lime producers that use rotary kilns. Producers now have the option to operate their plant at peak performance while maintaining control of the shell temperatures in the burning zone. The Pyrotek manufactured ISOMAG® 70XCO structural insulation board has acheived reductions in shell temperature and energy savings with good lining stability under the most extreme thermomechanical conditions.
Acknowledgements
The authors would like to thank Boral Cement Australia, and others in the cement industry for their cooperation.



